확률통계의 정규분포 문제의 예제들입니다.
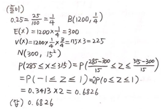
1. 불량률이 0.25인 생산 공장에서 1200개의 부품을 무작위로 추출했을 때, 불량품의 개수를 x라 한다.
P(285≤x≤315)을 구하시오.
(풀이)

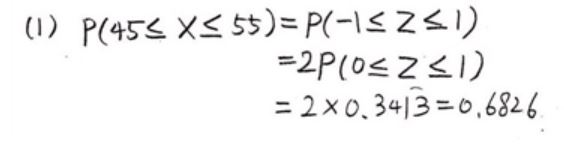
2. 한 개의 동전을 100회 던질 때

(a) 앞면이 나오는 횟수가 45회 이상 55회 이하일 확률을 구하시오.
(풀이)

(b) 앞면이 나오는 횟수가 65회 이상일 확률을 구하시오.
(풀이)

이 문제들을 빅데이터 처리와 확률통계 책을 참고하였습니다.
도움이 되었기를 바랍니다. 감사합니다.